CO Fundamental Transition#
We will illustrate approximations to the vibrational transition energies, specifically the fundamental (\(n=0 \rightarrow n=1\)) transition, using the diatomic molecule CO.
We will use the Morse potential as a model for the “exact” interatomic potential, and we will approximate this potential by different orders of a Taylor expansion: including up to quadratic (which is the harmonic oscillator approximation), cubic, and quartic terms. The harmonic and Morse potentials are exactly solvable, and the eigenfunctions and eigenvalues of the vibrational Hamiltonian with cubic and quartic potentials can be approximated using perturbation theory. Therefore, we will compare the fundamental transition computed exactly for harmonic and Morse potentials, and approximately at 2nd order of perturbation theory for cubic and quartic potentials to see the impact of various levels of potential truncation and approximation.
Within the Morse model, the vibrational Hamiltonian can be written as
where
The Morse parameters for \({\rm CO}\) are as follows: \(D_e = 11.225 \: {\rm eV}\), \(r_{eq} = 1.1283 \: {\rm Ang.}\), \(\beta = 2.3000 \: {\rm Ang.}^{-1}\), and \(\mu = 6.8606 \: {\rm amu}\).
The exact energy eigenvalues for Equation (1) can be written as
where
and
The Morse potential can be approximated by a Taylor expansion as follows:
where \(f^{(n)}(r_{eq})\) is the \(n^{th}\)-order derivative of the Morse potential evaluated at the equilibrium bondlength, e.g. \(f^{(1)}(r_{eq}) = \frac{d}{dr}V_{Morse}(r_{eq}).\)
We will define the Harmonic approximation to the potential as
the cubic approximation to the potential as
and the quartic approximation as
Because we are using the Morse model as the “exact” interatomic potential in this notebook, we can compute these derivatives at \(r_{eq}\) analytically:
However, in general we do not have an analytical form for the interatomic potential, so we must rely on numerical derivatives of the potential evaluated at the \(r_{eq}\). In the context of interatomic potentials computed by quantum chemistry methods (e.g. CCSD(T)), one must first identify the equilibrium geometry, and then compute derivatives by taking a number of single point calculations along all displacement coordinates to compute differences among. We will write the explicit expression for the second derivative using centered finite differences along the one displacement coordinate relevant for our \({\rm CO}\) molecule:
where \(\Delta r\) represents a small displacement along the coordinate \(r\). Higher-order derivatives can also be computed, but will require larger numbers of displacements and therefore more energy evaluations by your quantum chemistry method. Expressions for higher-order derivatives along a single coordinate can be found here. Note that the number of displacement coordinates \(N\) grows linearly with the number of atoms, and that the number of displacements required to form the \(n^{{\rm th}}\)-order approximation to the potential grows as \(N^n\).
Perturbation Theory#
We can compute the exact vibrational transition energies for the Morse oscillator and the Harmonic oscillator using Equation (3), where the Harmonic oscillator transition energies come from Equation (3) with \(\chi_e = 0\). However, the transition energies when the potential is approximated as \(V_C(r)\) or \(V_Q(r)\) must be approximated. We will illustrate the use of Perturbation Theory approximate these transition energies.
Here we will consider the Hamiltonian
where \(\hat{H}_0\) is exactly solved by the Harmonic oscillator energy eigenfunctions and eigenvalues (\(\psi^{(0)}_n(r)\), \(E^{(0)}_n\)), and \(V'(r)\) is the perturbation which will take the form of either \(V'(r) = \frac{1}{6}g(r-r_{eq})^3\) or \(V'(r) = \frac{1}{6}g(r-r_{eq})^3 + \frac{1}{24}h(r-r_{eq})^4\) in the cubic and quartic approximations, respectively.
We can calculate the energy of state \(n\) at 2nd order of perturbation theory as follows:
Recall that for the zeroth-order functions have the form
Approach#
We will compute the fundamental transition (\(E_1 - E_0\)) using the following approaches:
Harmonic approximation: \(E_1 - E_0 = \hbar \omega\)
Exact solution for Morse Hamiltonian: \(E_1 - E_0 = \hbar \omega (1 - 2\chi_e)\)
Evaluation of Eq. (13) for \(n=0\) and \(n=1\) utilizing the cubic contribution for \(V'(r)\)
Evaluation of Eq. (13) for \(n=0\) and \(n=1\) utilizing the cubic and quartic contribution for \(V'(r)\)
Setting up Morse Oscillator Parameters#
The following block will establish the parameters for \(\hat{H}_{vib}\) with the Morse potential for the CO molecule.
# library imports for the entire notebook
import numpy as np
from matplotlib import pyplot as plt
import numpy as np
from numpy import trapz
from scipy.special import hermite
from math import factorial
# dissociation energy in eV
De_eV = 11.225
# equilibrium bondlength in Angstroms
r_eq_ang = 1.1283
# reduced mass in amu
mu_amu = 6.8606
# potential curvature in inverse angstromgs
beta_inv_ang = 2.30
Unit conversion#
We will use atomic units for our calculations and convert to spectroscopic units later. In the following block, we will store different conversion factors as variables for later use.
# atomic mass units to kg
amu_to_kg = 1.66054e-27
# angstroms to meters
ang_to_m = 1e-10
# electron volts to Jouls
eV_to_J = 1.60218e-19
# electron volts to atomic units of energy (Hartrees)
eV_to_au = 1 / 27.211 #0.0367493
# angstroms to atomic units of length (Bohr radii)
au_to_ang = 0.52917721067121
# atomic mass units to atomic units of mass
amu_to_au = 1822.89
The fllowing block will use the conversion factors above to store the Morse oscillator parameters in atomic units.
# dissociation energy in au
De_au = De_eV * eV_to_au
# reduced mass in SI
mu_au = mu_amu * amu_to_au
# equilibrium bondlength in SI
r_eq_au = r_eq_ang / au_to_ang
# beta in SI
beta_au = beta_inv_ang * au_to_ang
# hbar in SI
hbar_au = 1
# h in SI
h_SI = np.pi * 2
Evaluating the Morse potential in atomic units#
Here we will create an numpy array of bondlength values between \(0\) and \(2.5 r_{eq}\)
def evaluate_Morse(r, De, beta, r_eq):
""" Helper function to evaluate the Morse potential at a given value of r
Arguments
---------
r : float
value(s) of r to evaluate potential at
De : float
dissociation energy of the Morse oscillator
beta : float
related to the curvature of the Morse oscillator
r_eq : float
equilibrium bondlength of the Morse oscillator
Returns
-------
V_m : float
value of the Morse potential at value(s) of r
"""
return De * (1 - np.exp(-beta * (r - r_eq))) ** 2
# array of bondlength values
r = np.linspace(0, 2.5 * r_eq_au, 500)
# array of Morse potential values
V_Morse = evaluate_Morse(r, De_au, beta_au, r_eq_au)
Expanding the Morse potential as a Taylor series#
In the following block, we will compute the analytical \(k\), \(g\), and \(h\) terms defined in Equation 10. We will compare the value of \(k\) computed analytically to the value computed numerically by Eq. (11), as well.
# analytical evaluation of k
k = 2 * De_au * beta_au ** 2
# analytical evaluation of g
g = -6 * De_au * beta_au ** 3
# analytical evalution of h
h = 14 * De_au * beta_au ** 4
# numerical evaluation of k
# small displacement along r
delta_r = 0.001 * r_eq_au
# value of Morse potential at forward displacement
V_f = evaluate_Morse(r_eq_au + delta_r, De_au, beta_au, r_eq_au)
# value of Morse potential at equilibrium
V_eq = evaluate_Morse(r_eq_au, De_au, beta_au, r_eq_au)
# value of Morse potential at backward displacement
V_b = evaluate_Morse(r_eq_au - delta_r, De_au, beta_au, r_eq_au)
# CFD approximation to k
k_num = (V_f - 2 * V_eq + V_b) / delta_r ** 2
# compare the numerical and analytic evaluation of k
print(k_num, k)
if np.isclose(k, k_num):
print(" The numerical and analytical values for k agree to within +/- 0.0001 atomic units.")
1.2221696273721965 1.222164826149254
The numerical and analytical values for k agree to within +/- 0.0001 atomic units.
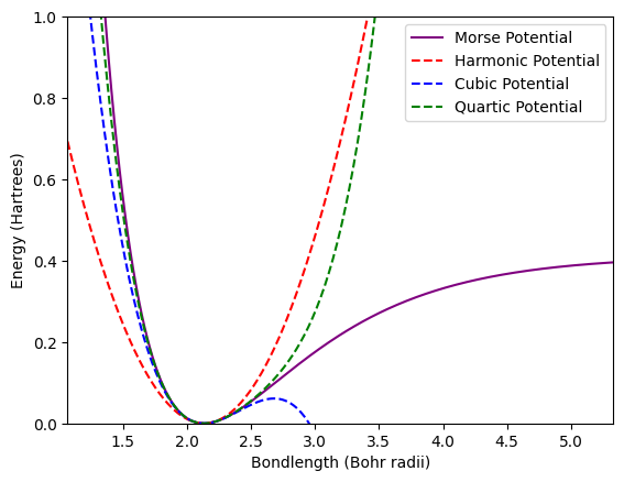
Next we will evaluate the Harmonic, cubic, and quartic models for the interatomic potential and plot all against the Morse potential.
# Harmonic potential
V_H = 1/2 * k * (r -r_eq_au) ** 2
# cubic
V_C = V_H + 1/6 * g * (r - r_eq_au) ** 3
# quartic
V_Q = V_C + 1/24 * h * (r - r_eq_au) ** 4
plt.plot(r, V_Morse, 'purple', label="Morse Potential")
plt.plot(r, V_H, 'r--', label="Harmonic Potential")
plt.plot(r, V_C, 'b--', label="Cubic Potential")
plt.plot(r, V_Q, 'g--', label="Quartic Potential")
plt.xlim(0.5 * r_eq_au, 2.5 * r_eq_au)
plt.ylim(0, 1)
plt.xlabel("Bondlength (Bohr radii)")
plt.ylabel("Energy (Hartrees)")
plt.legend()
plt.show()

Compute \(E_1\) and \(E_2\) using Perturbation Theory#
We will need access to the zeroth-order states \(\psi_n^{(0)}(r)\) to compute the 1st and 2nd order energy corrections. The following helper functions will give us access to these states and will also perform the operations necessary to compute the perturbative corrections.
def compute_alpha(k, mu, hbar):
""" Helper function to compute \alpha = \sqrt{k * \omega / \hbar}
Arguments
---------
k : float
the Harmonic force constant
mu : float
the reduced mass
hbar : float
reduced planck's constant
Returns
-------
alpha : float
\alpha = \sqrt{k * \omega / \hbar}
"""
# compute omega
omega = np.sqrt( k / mu )
# compute alpha
alpha = mu * omega / hbar
# return alpha
return alpha
def N(n, alpha):
""" Helper function to take the quantum number n of the Harmonic Oscillator and return the normalization constant
Arguments
---------
n : int
the quantum state of the harmonic oscillator
Returns
-------
N_n : float
the normalization constant
"""
return np.sqrt( 1 / (2 ** n * factorial(n)) ) * ( alpha / np.pi ) ** (1/4)
def psi(n, alpha, r, r_eq):
""" Helper function to evaluate the Harmonic Oscillator energy eigenfunction for state n
Arguments
---------
n : int
the quantum state of the harmonic oscillator
alpha : float
alpha value
r : float
position at which psi_n will be evaluated
r_eq : float
equilibrium bondlength
Returns
-------
psi_n : float
value of the harmonic oscillator energy eigenfunction
"""
Hr = hermite(n)
psi_n = N(n, alpha) * Hr( np.sqrt(alpha) * ( r - r_eq )) * np.exp( -0.5 * alpha * (r - r_eq)**2)
return psi_n
def harmonic_eigenvalue(n, k, mu, hbar):
""" Helper function to evaluate the energy eigenvalue of the harmonic oscillator for state n"""
return hbar * np.sqrt(k/mu) * (n + 1/2)
def morse_eigenvalue(n, k, mu, De, hbar):
""" Helper function to evaluate the energy eigenvalue of the Morse oscillator for state n"""
omega = np.sqrt( k / mu )
xi = hbar * omega / (4 * De)
return hbar * omega * ( (n + 1/2) - xi * (n + 1/2) ** 2)
def potential_matrix_element(n, m, alpha, r, r_eq, V_p):
""" Helper function to compute <n|V_p|m> where V_p is the perturbing potential
Arguments
---------
n : int
quantum number of the bra state
m : int
quantum number of the ket state
alpha : float
alpha constant for bra/ket states
r : float
position grid for bra/ket states
r_eq : float
equilibrium bondlength for bra/ket states
V_p : float
potential array
Returns
-------
V_nm : float
<n | V_p | m >
"""
# bra
psi_n = psi(n, alpha, r, r_eq)
# ket
psi_m = psi(m, alpha, r, r_eq)
# integrand
integrand = np.conj(psi_n) * V_p * psi_m
# integrate
V_nm = np.trapz(integrand, r)
return V_nm
Test out the eigenfunctions#
Here we will plot \(\psi_0^{(0)}\) against the Harmonic potential and will also test to make sure it is properly normalized.
# compute alpha
alpha = compute_alpha(k, mu_au, hbar_au)
# compute psi_0 along the r grid
psi_0 =psi(0, alpha, r, r_eq_au)
# is it normalized?
Integral = trapz(psi_0 ** 2, r)
assert np.isclose(Integral, 1.0)
# Harmonic potential
plt.plot(r, psi_0, label='$\psi_0$')
plt.plot(r, V_H, 'r--', label="Harmonic Potential")
plt.xlim(0, 2 * r_eq_au)
plt.legend()
plt.show()

Compute the fundamental transition energies#
Now we will compute the fundamental transition energies at all levels of theory and plot the results in both atomic units and in wavenumbers.
# fundamental transition energy at HO level
fundamental_HO = harmonic_eigenvalue(1, k, mu_au, hbar_au) - harmonic_eigenvalue(0, k, mu_au, hbar_au)
# fundamental transition energy at Morse level
fundamental_Morse = morse_eigenvalue(1, k, mu_au, De_au, hbar_au) - morse_eigenvalue(0, k, mu_au, De_au, hbar_au)
# 1st order correction using the cubic potential
pt1_cubic = potential_matrix_element(0, 0, alpha, r, r_eq_au, (V_C - V_H))
# 1st order correction using the quartic potential
pt1_quartic = potential_matrix_element(0, 0, alpha, r, r_eq_au, (V_Q - V_H))
# 2nd order corrections using cubic and quartic potentials
pt2_cubic = 0
pt2_quartic = 0
# sum over |<j|V'|n>|^2/(Ej-En)
for j in range(1, 50):
E_j = harmonic_eigenvalue(j, k, mu_au, hbar_au)
Vc_j0 = potential_matrix_element(j, 0, alpha, r, r_eq_au, (V_C - V_H))
pt2_cubic += Vc_j0 ** 2 / (fundamental_HO - E_j)
Vq_j0 = potential_matrix_element(j, 0, alpha, r, r_eq_au, (V_Q - V_H))
pt2_quartic += Vq_j0 ** 2 / (fundamental_HO - E_j)
import matplotlib.pyplot as plt
cubic_fo = fundamental_HO + pt1_cubic
quartic_fo = fundamental_HO + pt1_quartic
cubic_so = cubic_fo + pt2_cubic
quartic_so = quartic_fo + pt2_quartic
au_to_wn = 219474.63068
morse_plot = np.array([fundamental_Morse * au_to_wn, 1.0])
HO_plot = np.array([fundamental_HO * au_to_wn, 1.0])
cubic_so_plot = np.array([cubic_so * au_to_wn, 1.0])
quartic_so_plot = np.array([quartic_so * au_to_wn, 1.0])
plt.stem(morse_plot[0], morse_plot[1], "black", label="Morse")
plt.stem(HO_plot[0], HO_plot[1], "blue", label="Harmonic")
plt.stem(cubic_so_plot[0], cubic_so_plot[1], "red", label="Cubic - PT2")
plt.stem(quartic_so_plot[0], quartic_so_plot[1], "green", label="Quartic - PT2")
plt.xlim(2100, 2200)
plt.ylim(0, 1)
plt.xlabel("Transition Energy (cm$^{-1}$)")
plt.legend()
plt.show()

Create and fit Morse potential in atomic units
Now plot the potential and compute some eigenvalues
from matplotlib import pyplot as plt
import numpy as np
from scipy import interpolate
# first compute and plot Morse potential
r = np.linspace(0.75 * r_eq_SI, 2.5 * r_eq_SI, 1000)
V_r = De_SI * (1 - np.exp(-beta_SI * (r - r_eq_SI))) ** 2
V_r_spline = interpolate.UnivariateSpline(r, V_r, k=5)
# now define the expansion coefficients to expand the Morse potential as a polynomial
# harmonic
k = 2 * De_SI * beta_SI ** 2
f_spline = V_r_spline.derivative()
k_spline = f_spline.derivative()
#g_spline = k_spline.derivative()
#h_spline = g_spline.derivative()
k_num = k_spline(r_eq_SI)
#g_num = g_spline(r_eq_SI)
#h_num = h_spline(r_eq_SI)
V_H = 1/2 * k_num * (r -r_eq_SI) ** 2
# cubic
#g = -6 * De_SI * beta_SI ** 3
#V_C = V_H + 1/6 * g_num * (r - r_eq_SI) ** 3
# quartic
#h = 14 * De_SI * beta_SI ** 4
#V_Q = V_H + V_C + 1/24 * h_num * (r - r_eq_SI) ** 4
plt.plot(r, V_r, 'red')
plt.plot(r, V_r_spline(r), 'blue')
#plt.plot(r, V_C, 'green')
#plt.plot(r, V_Q, 'purple')
plt.xlim(0.75 * r_eq_SI, 1.5 * r_eq_SI)
#plt.ylim(0, 2e-18)
plt.show()
---------------------------------------------------------------------------
NameError Traceback (most recent call last)
Cell In[11], line 6
3 from scipy import interpolate
5 # first compute and plot Morse potential
----> 6 r = np.linspace(0.75 * r_eq_SI, 2.5 * r_eq_SI, 1000)
7 V_r = De_SI * (1 - np.exp(-beta_SI * (r - r_eq_SI))) ** 2
9 V_r_spline = interpolate.UnivariateSpline(r, V_r, k=5)
NameError: name 'r_eq_SI' is not defined
# now compute fundamental and anharmonic correction
omega_SI = np.sqrt(2 * De_SI * beta_SI ** 2 / mu_SI)
xe_SI = hbar_SI * omega_SI / (4 * De_SI)
# compute and print fundamental energy in SI
E0 = hbar_SI * omega_SI * ((0 + 1/2) - xe_SI * (0 + 1/2) ** 2 )
E1 = hbar_SI * omega_SI * ((1 + 1/2) - xe_SI * (1 + 1/2) ** 2 )
fundamental_SI = E1-E0
print(fundamental_SI)
print(fundamental_SI * J_to_wn)
B = h_SI / (8 * np.pi ** 2 * c_SI * mu_SI * r_eq_SI ** 2)
print(B)
# dissociation energy in SI
De_SI = De_eV * eV_to_J
# reduced mass in SI
mu_SI = mu_amu * amu_to_kg
# equilibrium bondlength in SI
r_eq_SI = r_eq_ang * ang_to_m
# beta in SI
beta_SI = beta_inv_ang / ang_to_m
# hbar in SI
hbar_SI = 1.05457182e-34
# h in SI
h_SI = 6.626e-34
# c in SI
c_SI = 2.99e8
# conversion from J to cm^-1
J_to_wn = 5.03445e22
print(mu_SI)
1.1392300724e-26